O hlađenju treba razmišljati prije prvog toplinskog vala. Danas su dostupne inovacije koje troše manje, filtriraju zrak i prilagođavaju se prostoru.
10:30 12 d 13.04.2026

kuhanje na plin | foto: ilustracija Greenpeace / Freepik
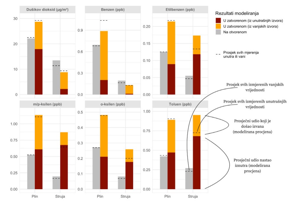
Predstavljeno je istraživanje Greenpeaceovog Znanstvenog odsjeka provedeno u kućanstvima u Hrvatskoj i Mađarskoj koje je pokazalo da zamjena plinskih štednjaka električnim uređajima može značajno poboljšati kvalitetu zraka u zatvorenom prostoru, pri čemu znatno padaju razine dušikovog dioksida (NO₂) i kancerogenog benzena.
Istraživanje je Greenpeace proveo u prvoj polovici 2025. godine u 12 kućanstava u Hrvatskoj i Mađarskoj, uključujući Zagreb, Osijek, Koprivnicu, Rijeku i Klenovnik. Kvaliteta zraka u zatvorenom i vanjskom prostoru svakog doma pratila se tijekom dva dvotjedna razdoblja, prije i nakon zamjene plinskih štednjaka električnima.

istraživanje o plinskim štednjacima | foto: Bojan Haron @ Greenpeace
Onečišćenje zraka u zatvorenom prostoru sve se više prepoznaje kao velik zdravstveni problem. Kada fosilni plin, koji se uglavnom sastoji od metana, snažnog klimatskog zagađivača, sagorijeva, oslobađa dušikov dioksid (NO₂), CO₂ i hlapljive organske spojeve poput benzena.
NO₂ može pogoršati respiratorne probleme, izazvati napadaje astme i smanjiti funkciju pluća, osobito kod djece i osoba s postojećim zdravstvenim tegobama. Dok je benzen Međunarodna agencija za istraživanje raka klasificirala kao kancerogen, za koji ne postoji sigurna razina izloženosti.
– Za usporedbu, onečišćenje od kuhanja na plinskom štednjaku može u domu stvoriti zagađenje slično onome uz prometnu ulicu ili kao da zapalite manju logorsku vatru u zatvorenom prostoru. Većina roditelja štiti djecu od pasivnog pušenja, a nisu ni svjesni da ih kuhanje na plin također izlaže štetnim tvarima, rekla je voditeljica kampanje Greenpeacea u Hrvatskoj, Petra Andrić.

istraživanje o plinskim štednjacima | foto: screen shot Greenpeace istraživanje
– Sada imamo jasne dokaze da fosilni plin šteti ne samo klimi, nego i našem zdravlju. Koliko nam je poznato, ovo je prvo istraživanje koje je mjerilo promjene u razinama NO₂ i benzena prije i nakon prelaska s plinskog na električni štednjak u kućanstvima, kaže pak viši znanstvenik Greenpeaceovog Znanstvenog odsjeka, Aidan Farrow, te dodaje kako su mjerenja u sklopu istraživanja pokazala da uklanjanje plina može značajno smanjiti izloženost štetnim onečišćujućim tvarima u zatvorenom prostoru.
– Zašto bi itko trebao birati između kuhanja večere i udisanja čistog zraka? Svjesni smo da nisu svi u mogućnosti u kratkom roku zamijeniti plinske štednjake, ali nadamo se barem pomoći onima koji su u procesu odlučivanja, dodala je Andrić.
U epilogu istraživanja Greenpeace poziva vlade da ciljanim subvencijama pomognu kućanstvima, posebno obiteljima s djecom, osobama s postojećim zdravstvenim problemima, te kućanstvima s niskim prihodima da prijeđu na električne štednjaka. Odnosno da zabrane ugradnju plinskih štednjaka u nove stambene objekte.

istraživanje o plinskim štednjacima | foto: Bojan Haron @ Greenpeace
Pridružite se našoj Viber zajednici i prvi saznajte sve informacije.
O hlađenju treba razmišljati prije prvog toplinskog vala. Danas su dostupne inovacije koje troše manje, filtriraju zrak i prilagođavaju se prostoru.
10:30 12 d 13.04.2026
Stručnjaci na primjeru obitelji koja podigla kredit 2006., objašnjavaju u detalje što im se sve dogodilo posljednjih 20 godina. Ovo je njihova priča.
10:42 19 h 25.04.2026
Poslovni prostor na prvom katu prepoznatljive zgrade na Ilici 15 našao se u sustavu elektroničkih dražbi. Vrijedi milijun i pol, a vlasnik je u ovrsi.
10:24 20 h 25.04.2026
Bungalovi i apartmani na 13.000 kvadrata: Za 2 milijuna eura prodaje se kultni jadranski autokamp
Cijeli postupak proizlazi iz duga većeg od 1,3 milijuna eura koji Grad Senj ima prema tvrtki Regulus Immobilis, temeljem pravomoćne sudske presude.
15:18 1 d 24.04.2026
Tri velika poljudska projekta: Predstavljen novi stadion, kreće uređenje pomoćnog terena i bazena
Arhitekt Nenad Fabijanić objavio je video 'svoje' rekonstrukcije Poljuda, a izabrani su i izvođači radova za dva popratna projekta.
15:56 2 d 23.04.2026
Država uređuje 243 prazna stana u 13 županija: Najviše posla bit će u Panonskoj regiji
Stari stanovi dobit će novo ruho kako bi postali useljivi i dijelom fonda uporabljivih državnih stanova
14:50 2 d 23.04.2026
Legalizacije divlje gradnje samo što nije, ali za građevine na ovim lokacijama neće biti milosti
Zakon o postupanju s nezakonito izgrađenim zgradama je 'na stolu', novosti je puno. Pripremite se.
10:30 2 d 23.04.2026
Nova zora sviće: Kada dođe inspektor svaki će apartman morat imati ovaj broj inače ide kazna
Prema najavama iz Ministarstva, cilj je uspostaviti jasniji i pravedniji okvir za iznajmljivače, a u njemu nema mjesta za neke 'stare načine'.
16:49 3 d 22.04.2026